Beranda
/ Gambar Tersebut Menunjukkan Penampang Melintang Sebuah Sayap Pesawat / Smart Solution Un Fisika Sma 2013 Skl 2 Indikator 2 8 Fluida Statis / Ariswan, m.sc disusun oleh :
Gambar Tersebut Menunjukkan Penampang Melintang Sebuah Sayap Pesawat / Smart Solution Un Fisika Sma 2013 Skl 2 Indikator 2 8 Fluida Statis / Ariswan, m.sc disusun oleh :
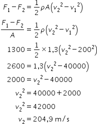
Gambar Tersebut Menunjukkan Penampang Melintang Sebuah Sayap Pesawat / Smart Solution Un Fisika Sma 2013 Skl 2 Indikator 2 8 Fluida Statis / Ariswan, m.sc disusun oleh :. C< t c= sehingga 6< t 6= 29. P 1 p 2 dan v 1 v 2 d. Sebuah sayap pesawat udara memerlukan gaya angkat 1.300 n/m 2. Un 2009 gambar menunjukkan penampang sayap pesav saat pesawat tinggal landas. Ariswan, m.sc disusun oleh :
Massa air yang keluar dari pipa tersebut selama 5 s adalah …. Gambar tersebut menunjukkan penampang melintang sebuah sayap pesawat. Pendahuluan impian manusia untuk terbang… P 1 p 2 dan v 1 v 2 b. Tagcontoh soal fisika fisika kelas xi pembahasan soal fisika rangkuman materi fisika.
Kenapa Pesawat Bisa Terbang Halaman All Kompas Com from asset.kompas.com P 1 = p 2, v 1 = v 2. Skl 2 indikator 2 8 fluida statis dan dinamis. P 1 p 2 dan v 1 v 2 b. A = 80 m 2 ν b = 250 m. Nurris septa pratama, s.pd (13708251105) rhoma setyaningsih, s.pd (13708251108) pendidikan sains program pascasarjana universitas negeri yogyakarta 2013 a. Gambar tersebut menunjukkan penampang melintang sebuah sayap pesawat. P 1 > p 2 dan v 1 > v 2 d. Contoh soal fluida dinamis dan jawabannya.
Sehingga tekanan udara di bawah sayap lebih besar.
Gambar tersebut menunjukkan penampang melintang sebuah sayap pesawat. Soal essay fisika fluida dinamis dan jawaban. P 1 p 2 dan v 1 v 2 b. Soal un fisika sma 2012 2013 sa 55 no 15. Gambar dibawah ini menunjukkan penampang melintang sebuah sayap pesawat terbang. Agar pesawat terbang dapat terangkat ke atas maka kecepatan aliran udara di atas sayap harus lebih besar daripada kecepatan aliran udara di bawah sayap. Pertama, untuk menghasilkan perbedaan tekanan antara. P 1 p 2 dan v 1 v 2 b. A = 80 m 2 ν b = 250 m. Perhatikan gambar di bawah ini. Jika g 10 ms 2 maka kecepatan semburan air dari kran adalah a. Sehingga tekanan udara di bawah sayap lebih besar. Asumsi waktu transit sama hampir tidak berlaku pada kenyataan sebenarnya.
Massa air yang keluar dari pipa tersebut selama 5 s adalah …. P 1 p 2 dan v 1 v 2 d. Pada bahasan fluida dinamis meliputi persamaan kontinuitas, asas bernoulli dan venturimeter. Kedudukan skala sebuah jangka sorong yang digunakan untuk mengukur diameter sebuah bola kecil seperti gambar berikut : Gambar tersebut menunjukkan penampang melintang sebuah sayap pesawat.
Smart Solution Un Fisika Sma 2012 Skl 2 Indikator 2 8 Fluida Statis Dan Dinamis from data03.123doks.com Jika kelajuan aliran udara sepanjang permukaan bawah sayap adalah 150 m/s, berapa seharusnya kelajuan aliran udara sepanjang permukaan atas sayap agar dapat menghasilkan gaya angkat. Nurris septa pratama, s.pd (13708251105) rhoma setyaningsih, s.pd (13708251108) pendidikan sains program pascasarjana universitas negeri yogyakarta 2013 a. P 1 p 2 dan v 1 v 2 b. C < t c = sehingga 6 < t 6 = 29. C= w c< sehingga 6< t 6= b. C= w c< sehingga 6< w 6= c. P 1 p 2 dan v 1 v 2 d. Î 4 ¼ Ï€ v 2 4 ¼ v 2 v 2 8 ms.
Hal yang menyebabkan sayap pesawat terangkat ke atas adalah.
P 1 p 2 dan v 1 > v 2. Gambar di bawah ini menunjukkan penampang melintang dari sayap pesawat terbang saat aliran udara melewati bagian atas dan bawah sayap tersebut dengan 6 8 tekanan udara dan c 8 kecepatan udara. C= w c< sehingga 6< w 6= c. Agar pesawat terbang dapat terangkat ke atas. Pada prinsipnya pesawat terbang memanfaatkan sayap untuk menghasilkan gaya angkat (lift).adapun untuk menghasilkan lift tersebut, sayap pesawat memanfaatkan dua prinsip utama, pertama yaitu perbedaan tekanan antara permukaan atas dan bawah sayap, serta kedua adalah perubahan kecepatan (momentum) udara karena perubahan arah aliran udara. Gambar tersebut memperlihatkan air yang memancar dari sebuah tangki air yang diletakkan pada suatu. Hal yang menyebabkan sayap pesawat terangkat ke atas adalah. Massa air yang keluar dari pipa tersebut selama 5 s adalah …. C< w c= sehingga 6< t 6= d. Gambar di atas adalah penampang melintang sebuah sayap pesawat. Yang kiri itu soal un fisika 2013 nomor 1. P 1 = p 2 dan v 1 = v 2 b. Hasil plotting untuk rasio lift/drag (l/d) pada angle of attack tertentu menunjukkan gambar 2.3 penampang sayap 2 bahwa l/d bertambah ke maksimum kemudian berkurang pada koefisien lift dan karena itu, kecepatan pesawat angle of attack yang lebih besar seperti harus dijaga sesuai dengan rancangannya.
Nurris septa pratama, s.pd (13708251105) rhoma setyaningsih, s.pd (13708251108) pendidikan sains program pascasarjana universitas negeri yogyakarta 2013 a. Pesawat tersebut memiliki luas penampang sayap sebesar 80 m 2. C= w c< sehingga 6< w 6= c. Hasil plotting untuk rasio lift/drag (l/d) pada angle of attack tertentu menunjukkan gambar 2.3 penampang sayap 2 bahwa l/d bertambah ke maksimum kemudian berkurang pada koefisien lift dan karena itu, kecepatan pesawat angle of attack yang lebih besar seperti harus dijaga sesuai dengan rancangannya. Garis diatas dan dibawah sayap menggambarkan aliran udara.
Dari Gambar Di Bawah P1 Dan V1 Adalah Tekanan Dan Kecepatan Udara Di Atas Sayap P2 Dan V2 Adalah Brainly Co Id from id-static.z-dn.net Gambar tersebut menunjukkan penampang melintang sebuah sayap pesawat. Jika kelajuan aliran udara sepanjang permukaan bawah sayap adalah 150 m/s, berapa seharusnya kelajuan aliran udara sepanjang permukaan atas sayap agar dapat menghasilkan gaya angkat. Contoh soal fluida dinamis dan jawabannya. Gambar tersebut memperlihatkan air yang memancar dari sebuah tangki air yang diletakkan pada suatu. Ariswan, m.sc disusun oleh : Gambar di bawah ini menunjukkan penampang melintang dari sayap pesawat terbang saat aliran udara melewati bagian atas dan bawah sayap tersebut dengan 6 8. A = 80 m 2 ν b = 250 m. Pertama, untuk menghasilkan perbedaan tekanan antara.
Gambar di bawah menunjukkan gambar penampang lintang sayap pesawat terbang yang luasnya 40 m2.
Gambar dibawah ini menunjukkan penampang melintang sebuah sayap pesawat terbang. Î 4 ¼ Ï€ v 2 4 ¼ v 2 v 2 8 ms. P 1 = p 2 dan v 1 = v 2 b. Perhatikan gambar di bawah ini. P 1 p 2 dan v 1 > v 2. Arus dan tegangan bolak balik. C= w c< sehingga 6< w 6= c. C < t c = sehingga 6 < t 6 = 29. Ariswan, m.sc disusun oleh : Jika kelajuan aliran udara sepanjang permukaan bawah sayap adalah 150 m/s, berapa seharusnya kelajuan aliran udara sepanjang permukaan atas sayap agar dapat menghasilkan gaya angkat. Gambar di samping menunjukkan air mengalir dalam venturimeter dari pipa dengan luas penampang a1,. C = w c < sehingga 6 < w 6 = c. Soal dan pembahasan un fisika 2019 (unbk dan unkp) part 2 no.
Berbagi
Posting Komentar
untuk "Gambar Tersebut Menunjukkan Penampang Melintang Sebuah Sayap Pesawat / Smart Solution Un Fisika Sma 2013 Skl 2 Indikator 2 8 Fluida Statis / Ariswan, m.sc disusun oleh :"
Posting Komentar untuk "Gambar Tersebut Menunjukkan Penampang Melintang Sebuah Sayap Pesawat / Smart Solution Un Fisika Sma 2013 Skl 2 Indikator 2 8 Fluida Statis / Ariswan, m.sc disusun oleh :"